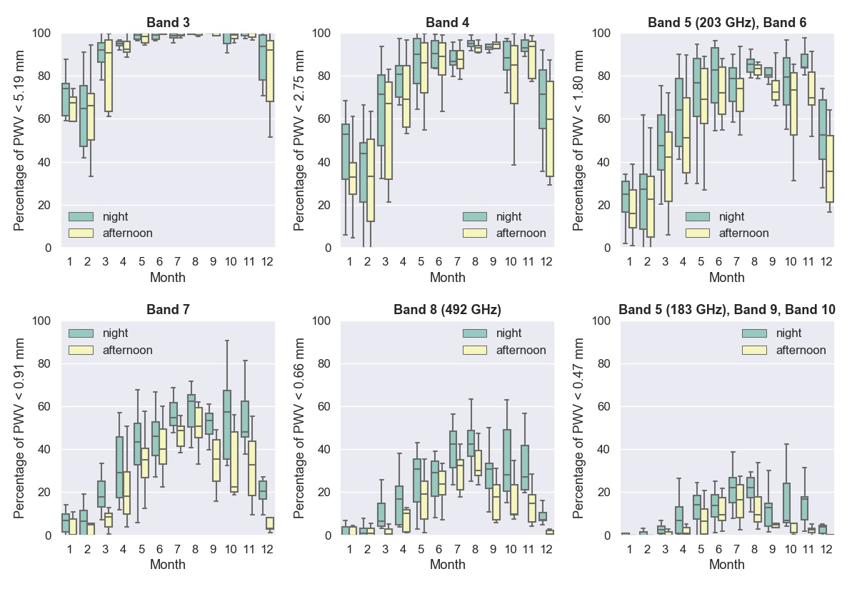
fig3 https://almascience.eso.org/proposing/images/cycle8/fig3/view https://almascience.eso.org/proposing/images/cycle8/fig3/@@download/image/fig3 fig3 Click to view full-size image… Size: 443.7 KB